服務支持
產品中心
聯系我們
深圳市東么川伺服控制技術有限公司
電話:0755-29030191
郵箱:983847136@qq.com
地址:深圳市龍華區東環一路天匯大廈D棟306房
介紹步進電機的具體特點
發布時間:2020-10-12 07:32:31
1)一般步進電機的精度為步距角的3-5%,且不累積。
2)步進電機外表允許的最高溫度。
步進電機溫度過高首先會使電機的磁性材料退磁,從而導致力矩下降乃至于失步,因此電機
外表允許的最高溫度應取決于不同電機磁性材料的退磁點;一般來講,磁性材料的退磁點都
在攝氏130度以上,有的甚至高達攝氏200度以上,所以步進電機外表溫度在攝氏80-90
度完全正常。
3)步進電機的力矩會隨轉速的升高而下降。
當步進電機轉動時,電機各相繞組的電感將形成一個反向電動勢;頻率越高,反向電動勢越大。在它的作用下,電機隨頻率(或速度)的增大而相電流減小,從而導致力矩下降。矩頻特性曲線橫坐標是轉速,縱坐標是轉矩,它反映了電機的轉速與轉矩的關系,是選用電機的主要依據。以下是一種電機的矩頻特性曲線。

重要公式:U=E+L(di/dt)+I*R。
一般在電機達到600RPM以上時,繞組實際電流已比驅動器設定值小很多,所以力矩相應有較大下降,有可能會出現丟步或堵轉。一般來說,900RPM以上的應用須特別注意高速力矩問題。
4)步進電機低速時可以正常運轉,但若高于一定速度就無法啟動,并伴有嘯叫聲。步進電機有一個技術參數:空載啟動頻率,即步進電機在空載情況下能夠正常啟動的脈沖頻率,如果脈沖頻率高于該值,電機不能正常啟動,可能發生丟步或堵轉。在有負載的情況下,啟動頻率應更低。如果要使電機達到高速轉動,脈沖頻率應該有加速過程,即啟動頻率較低,然后按一定加速度升到所希望的高頻(電機轉速從低速升到高速)。
5)低頻振動特性 步進電動機以連續的步距狀態邊移動邊重復運轉。其步距狀態的移動會產生如下所示的 1 步距響應。
①停止狀態的步進電動機輸入 1 脈沖時,會朝下一個步距角進行加速。
②加速后的電動機通過步距角并超過某個角度后,則會朝反方向被拉回。
③如此衰減振動后,將于既定的步距角度位置上停止下來。

產生此一衰減振動的步距狀態的移動即為低速旋轉時的振動原因。 振動特性所表現的即是步進電動機旋轉中的振動的大小。 振動幅度越小旋轉越順暢。
步進電機均有固定的共振區域,二、四相感應子式步進電機的共振區一般在180-250pps之間(步距角1.8度)。電機驅動電壓越高,電機電流越大,負載越輕,電機體積越小,則共振區向上偏移,反之亦然。為使電機輸出力矩大,不失步和整個系統的噪音降低,一般工作點均應偏移共振區較多。步進電機低速轉動時振動和噪聲大是其固有的缺點,克服兩相混合式步進電機在低速運轉時的振動和噪聲方法:
A.如步進電機正好工作在共振區,可通過改變減速比等機械傳動避開共振區;
B.采用帶有細分功能的驅動器,這是最常用的、最簡便的方法;
C.換成步距角更小的步進電機,如三相或五相步進電機;
D.換成交流伺服電機,幾乎可以完全克服震動和噪聲,但成本較高;
E.在電機軸上加磁性阻尼器,市場上已有這種產品,但機械結構改變較大。
6)中高頻穩定性
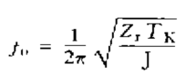
電機的固有頻率估算值:

式中:Zr 為轉子齒數;TK 為電機轉矩;J 為轉子轉動貫量
從控制脈沖頻率的角度講,其基波在fCP =fO 處引起的諧振, 在振動特性上一般有較明顯的反
映,分辨率較低時更為突出,分辨率增高時情況改善。在fO的倍數頻率點常常出現諧振點,如2 fO、3 fO 、4 fO、? 等處。
2)步進電機外表允許的最高溫度。
步進電機溫度過高首先會使電機的磁性材料退磁,從而導致力矩下降乃至于失步,因此電機
外表允許的最高溫度應取決于不同電機磁性材料的退磁點;一般來講,磁性材料的退磁點都
在攝氏130度以上,有的甚至高達攝氏200度以上,所以步進電機外表溫度在攝氏80-90
度完全正常。
3)步進電機的力矩會隨轉速的升高而下降。
當步進電機轉動時,電機各相繞組的電感將形成一個反向電動勢;頻率越高,反向電動勢越大。在它的作用下,電機隨頻率(或速度)的增大而相電流減小,從而導致力矩下降。矩頻特性曲線橫坐標是轉速,縱坐標是轉矩,它反映了電機的轉速與轉矩的關系,是選用電機的主要依據。以下是一種電機的矩頻特性曲線。

重要公式:U=E+L(di/dt)+I*R。
一般在電機達到600RPM以上時,繞組實際電流已比驅動器設定值小很多,所以力矩相應有較大下降,有可能會出現丟步或堵轉。一般來說,900RPM以上的應用須特別注意高速力矩問題。
4)步進電機低速時可以正常運轉,但若高于一定速度就無法啟動,并伴有嘯叫聲。步進電機有一個技術參數:空載啟動頻率,即步進電機在空載情況下能夠正常啟動的脈沖頻率,如果脈沖頻率高于該值,電機不能正常啟動,可能發生丟步或堵轉。在有負載的情況下,啟動頻率應更低。如果要使電機達到高速轉動,脈沖頻率應該有加速過程,即啟動頻率較低,然后按一定加速度升到所希望的高頻(電機轉速從低速升到高速)。
5)低頻振動特性 步進電動機以連續的步距狀態邊移動邊重復運轉。其步距狀態的移動會產生如下所示的 1 步距響應。
①停止狀態的步進電動機輸入 1 脈沖時,會朝下一個步距角進行加速。
②加速后的電動機通過步距角并超過某個角度后,則會朝反方向被拉回。
③如此衰減振動后,將于既定的步距角度位置上停止下來。

產生此一衰減振動的步距狀態的移動即為低速旋轉時的振動原因。 振動特性所表現的即是步進電動機旋轉中的振動的大小。 振動幅度越小旋轉越順暢。
步進電機均有固定的共振區域,二、四相感應子式步進電機的共振區一般在180-250pps之間(步距角1.8度)。電機驅動電壓越高,電機電流越大,負載越輕,電機體積越小,則共振區向上偏移,反之亦然。為使電機輸出力矩大,不失步和整個系統的噪音降低,一般工作點均應偏移共振區較多。步進電機低速轉動時振動和噪聲大是其固有的缺點,克服兩相混合式步進電機在低速運轉時的振動和噪聲方法:
A.如步進電機正好工作在共振區,可通過改變減速比等機械傳動避開共振區;
B.采用帶有細分功能的驅動器,這是最常用的、最簡便的方法;
C.換成步距角更小的步進電機,如三相或五相步進電機;
D.換成交流伺服電機,幾乎可以完全克服震動和噪聲,但成本較高;
E.在電機軸上加磁性阻尼器,市場上已有這種產品,但機械結構改變較大。
6)中高頻穩定性
電機的固有頻率估算值:

式中:Zr 為轉子齒數;TK 為電機轉矩;J 為轉子轉動貫量
從控制脈沖頻率的角度講,其基波在fCP =fO 處引起的諧振, 在振動特性上一般有較明顯的反
映,分辨率較低時更為突出,分辨率增高時情況改善。在fO的倍數頻率點常常出現諧振點,如2 fO、3 fO 、4 fO、? 等處。
- 上一篇:圖文介紹步進電機基本工作原理
- 下一篇:絲桿步進電機工作原理和用途
產品推薦:兩相步進電機
產品推薦:無刷電機
產品推薦:兩相步進驅動器
產品推薦:直流無刷驅動器




























地址 ADDRESS